X
IMG
VIDEO

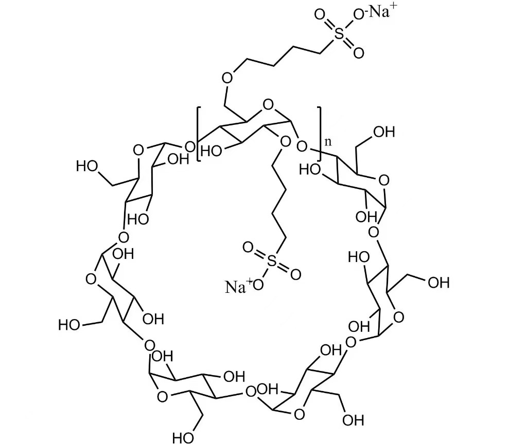
SBE-β-CD Sulfobutylether Beta Cyclodextrin Sóidiam In-Insteallta Cógaisíochta

Mórdhíol SBE-β-CD Sulfobutylether Beta Cyclodextrin Sodium Injectable Pharmaceutical Excipient déanta sa tSín ó DELI. Is é SBE-β-CD (Sulfobutylether Beta Cyclodextrin Sóidiam) eiseamláir chógaisíochta in-insteallta an-intuaslagtha in uisce a úsáidtear chun tuaslagthacht, cobhsaíocht agus sábháilteacht APIanna lag-intuaslagtha a fheabhsú trí fhoirmiú casta cuimsithe inchúlaithe.

Seol Fiosrúchán

Cur síos ar an Táirge


SBE-β-CD Sulfobutylether Beta Cyclodextrin Sóidiam In-Insteallta Cógaisíochta

Is díorthach β-cyclodextrin anionic intuaslagtha in uisce é SBE-β-CD (Sulfobutylether Beta Cyclodextrin Sóidiam) atá deartha le haghaidh feidhmeanna cógaisíochta in-insteallta. Cruthaíonn sé coimpléisc chuimsithe cobhsaí, neamhchomhfhiúsacha le comhábhair ghníomhacha chógaisíochta (APIanna), rud a fheabhsaíonn go mór tuaslagthacht, cobhsaíocht agus sábháilteacht drugaí nach bhfuil intuaslagtha in uisce go dona.

Mar gheall ar a bith-chomhoiriúnacht den scoth, gníomhaíocht hemolytic íseal, agus próifíl tocsaineachta rialaithe, úsáidtear SBE-β-CD go forleathan i gcórais seachadta drugaí parenteral thar réimsí teiripeacha iolracha.


Buntáistí Eochair


Feabhsaíonn SBE-β-CD tuaslagthacht uiscí APIanna hidreafóbach agus sábháilteacht foirmithe á chothabháil. I gcomparáid le gníomhairí solubilizing traidisiúnta, léiríonn sé tocsaineacht duánach laghdaithe agus greannú níos ísle ag láithreáin insteallta, rud a fhágann go bhfuil sé oiriúnach le haghaidh riarachán tuismitheora arís agus arís eile.


Feidhmchláir Chógaisíochta


Cuirtear SBE-β-CD i bhfeidhm go príomha i bhfoirmíochtaí insteallta agus steiriúla, lena n-áirítear foirmeacha dáileog infhéitheach, ionmhatánach agus subcutaneous. Úsáidtear go coitianta é i dtáirgí antiviral, antifungal, oncology, agus drugaí cardashoithíoch, áit a bhfuil ard-intuaslagthacht agus cobhsaíocht foirmlithe ríthábhachtach.


Sonraíochtaí Táirge


Ainm Cheimiceach Sulfobutylether Beta Cyclodextrin Sóidiam
CAS Uimh. 182410-00-0
Dealramh Púdar éagruthach ó bhán go bán
Grád Excipient Cógaisíochta Injectable
Tuaslagthacht Intuaslagtha in uisce saor in aisce,
Measúnacht 95.0% - 105.0% (bonn ainhidriúil)
Meánchéim Ionadaíochta (DS) 6.2 – 6.9
Endotoxins baictéarach ≤ 10 AE/g
Caighdeáin USP / EP
Seilfré 36 mí


Sonraíochtaí Pacáistithe


I measc na roghanna pacáistithe atá ar fáil tá 500 g/mála, 1 kg/mála, 10 kg/mála, agus 10 kg/druma. Tá pacáistiú saincheaptha ar fáil arna iarraidh sin do sholáthar tráchtála.


Dearbhú Cáilíochta


Déantar gach baisc de SBE-β-CD a mhonarú faoi chóras dian bainistíochta cáilíochta agus déantar tástáil anailíseach chuimsitheach orthu. Tá príomh-pharaiméadair cháilíochta cosúil le neamhíonachtaí, endotoxins, méid an ionaid, agus comhsheasmhacht bhaisc-go-bhaisc á rialú go docht.

Tá Deimhniú Anailíse (COA) ag gabháil le gach lastas chun inrianaitheacht iomlán agus comhlíonadh rialála a chinntiú.


Cáilíochtaí & Deimhnithe Cuideachta


Is fiontar ardteicneolaíochta é Xi’an Deli Biochemical Industry Co., Ltd. a dhíríonn ar thaighde, ar fhorbairt agus ar mhonarú cyclodextrins agus a gcuid díorthach. Bunaithe i 1999, tá os cionn 26 bliain de thaithí tionscail ag an gcuideachta.

Feidhmíonn an chuideachta línte táirgeachta excipient cógaisíochta tiomnaithe le réimsí déantúsaíochta glan rialaithe. Tá a chóras bainistíochta cáilíochta tar éis deimhniú ISO 9001 a rith, agus déantar táirgí lárnacha a chlárú nó a chomhdú leis na húdaráis rialála ábhartha, lena n-áirítear an FDA.


Cumas Déantúsaíochta


Tá cumas táirgthe tráchtála ar scála mór bunaithe ag Xi’an Deli Biochemical do SBE-β-CD, ag cinntiú soláthar iontaofa fadtéarmach do chustaiméirí cógaisíochta domhanda.

Tá cumas táirgthe bliantúil níos mó ná 200 tonna méadrach, le méid baisc tipiciúil de thart ar 2.5 tonna méadrach.


CCanna

C1: Cad é príomhfheidhm SBE-β-CD i bhfoirmíochtaí insteallta?
A: Feidhmíonn SBE-β-CD go príomha mar thuaslagóir agus cobhsaitheoir, ag feabhsú tuaslagthacht uiscí agus sábháilteacht APIanna atá intuaslagtha in uisce go dona trí fhoirmiú casta cuimsithe inchúlaithe.


C2: An bhfuil SBE-β-CD oiriúnach do riarachán infhéitheach arís agus arís eile?
A: Tá. Léiríonn SBE-β-CD gníomhaíocht hemolytic íseal agus tocsaineacht duánach laghdaithe i gcomparáid le hoibreáin intuaslagtha traidisiúnta, rud a fhágann go bhfuil sé oiriúnach d'úsáid tuismitheora arís agus arís eile.


C3: An gcomhlíonann do tháirge caighdeáin chógaisíochta?
A: Comhlíonann ár SBE-β-CD ceanglais USP agus EP agus déantar é a mhonarú faoi chóras bainistíochta cáilíochta deimhnithe.


C4: An féidir doiciméadú teicniúil a sholáthar?
A: Tá. Tá COA, sonraíochtaí, agus sonraí teicniúla ar fáil ach iad a iarraidh.



Hot Tags: SBE-β-CD Sulfobutylether Beta Cyclodextrin Sodium Injectable Pharmaceutical Excipient, Monaróirí, Soláthraithe, an tSín, Monarcha, mórchóir, Sampla Saor in Aisce, Déanta sa tSín, I Stoc, Mórdhíol, Ceannaigh

Catagóir Gaolmhar

Seol Fiosrúchán

Ná bíodh drogall ort d’fhiosrúchán a thabhairt san fhoirm thíos. Tabharfaimid freagra duit i 24 uair an chloig.
icon
X
Úsáidimid fianáin chun eispéireas brabhsála níos fearr a thairiscint duit, chun anailís a dhéanamh ar thrácht an tsuímh agus chun inneachar a phearsantú. Trí úsáid a bhaint as an suíomh seo, aontaíonn tú lenár n-úsáid a bhaint as fianáin. Beartas Príobháideachta
Diúltaigh Glac