Nuacht Tionscal

Réitigh Cyclodextrin-Bunaithe le haghaidh Tuaslagthacht agus Feabhsú Cobhsaíochta

2025-12-23 - Fág teachtaireacht dom

Réitigh Cyclodextrin-Bunaithe le haghaidh Tuaslagthacht agus Feabhsú Cobhsaíochta

Forbhreathnú Teicniúil ar Hidroxypropyl Betadex agus Betadex Sulfobutyl Éitear Sóidiam

Aithnítear go forleathan cyclodextrins as a gcumas tuaslagthacht agus cobhsaíocht comhdhúile lag-intuaslagtha nó íogair ó thaobh ceimiceacha a fheabhsú. Mar gheall ar a struchtúr móilíneach timthriallach uathúil, tá cyclodextrins agus a gcuid díorthach tar éis éirí ina n-eisimitheoirí feidhmiúla tábhachtacha thar réimsí cógaisíochta, ceimiceacha agus foirmithe gaolmhara. Mar fhreagra ar cheanglais theicniúla agus rialála atá ag méadú, tá Xi’an Deli Biochemical tar éis an doiciméadúchán teicniúil agus an tacaíocht táirge dá phríomh-dhíorthaigh cyclodextrin a bheachtú tuilleadh:hidroxypropil betadex (HPBCD) agus betadex sulfobutyl éitear sóidiam (SBECD).


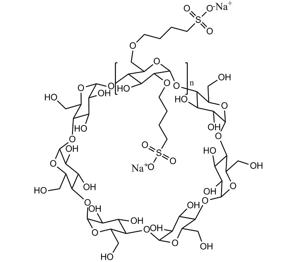
Tréithe Struchtúrtha agus Feidhmíocht Fheidhmiúil Cyclodextrins

Is olagaishiúicrídí timthriallacha iad Cyclodextrins comhdhéanta d'aonaid glúcóis atá nasctha le bannaí glycosidic α-1,4. Gnéithe a n-ailtireacht mhóilíneach dromchla seachtrach hydrophilic agus cuas inmheánach sách hidreafóbach, a chuireann ar chumas foirmiú coimpléisc chuimsithe le raon leathan de mhóilíní aoi. Is féidir le modhnú ceimiceach ar an struchtúr cyclodextrin cur go mór le tuaslagthacht uiscí agus solúbthacht iarratais a leathnú.


Betadex Hidroxypropil (HPBCD)


Is β-cyclodextrin modhnaithe go ceimiceach é hidroxypropyl betadex atá deartha chun intuaslagthacht teoranta cyclodextrins dúchais a shárú. Mar gheall ar a intuaslagthacht fheabhsaithe uisce agus a chomhoiriúnacht fhabhrach, tá HPBCD oiriúnach d'fheidhmchláir a dteastaíonn solúbthacht tuaslagthachta, cobhsaithe agus foirmlithe éifeachtach thar chórais éagsúla.


Éitear Sóidiam Betadex Sulfobutyl (SBECD)


Is díorthach anionic cyclodextrin é éitear Betadex sulfobutyl arb é is sainairíonna é ionadaí éitear sulfobutyl. Cuireann an struchtúr seo le hidirghníomhaíochtaí leictreastatacha le comhdhúile sonracha, ag tacú le tuaslagthacht fheabhsaithe, cobhsaíocht choimpléascach, agus stóinseacht foirmlithe in iarratais níos déine.

Eolas Caighdeánaithe Táirge agus Tacaíocht Theicniúil

Chun tacú níos fearr le forbairt foirmlithe, meastóireachta cáilíochta, agus próisis soláthair, tá faisnéis táirge do HPBCD agus SBECD nuashonraithe go córasach ag Xi’an Deli Biochemical, lena n-áirítear:


  • Sonraíochtaí táirge agus paraiméadair anailíse atá sainmhínithe agus caighdeánaithe go soiléir
  • Deimhnithe Anailíse (COA) a bhaineann go sonrach le Baisc chun inrianaitheacht agus fíorú cáilíochta a chinntiú
  • Ceisteanna Coitianta teicniúla leathnaithe a thugann aghaidh ar láimhseáil, stóráil, agus gnáthghnéithe feidhmchláir
  • Achoimrí táirgí optamaithe atá deartha chun athbhreithniú teicniúil agus roghnú éifeachtach a éascú


Tá sé mar aidhm leis na feabhsuithe seo trédhearcacht a fheabhsú, amlínte meastóireachta a laghdú, agus tacú le feidhmíocht chomhsheasmhach táirgí ar feadh an timthrialla soláthair.


Taithí Déantúsaíochta agus Dearbhú Cáilíochta

Bunaithe i 1999, tugann Xi'an Deli Biochemical 26 bliain de thaithí i ndéantúsaíocht díorthaigh cyclodextrin. Díríonn an chuideachta ar tháirgeadh rialaithe hiodrocsaipropil betadex agus betadex sulfobutyl éitear sóidiam, ag cur béime ar chomhsheasmhacht próisis, ar iontaofacht bhaisc-go-bhaisc, agus ar chobhsaíocht soláthair fadtéarmach. Tacaíonn cleachtais struchtúrtha bainistíochta cáilíochta le riachtanais theicniúla, rialála agus foinsithe na gcustaiméirí.


Scóip Feidhmchláir agus Comhoibriú Teicniúil

Bunaithe ar mheicníochtaí cuimsithe agus cobhsaithe cyclodextrin, tá HPBCD agus SBECD infheidhme ar fud réimsí iomadúla teicniúla, lena n-áirítear foirmlithe a bhaineann le cógaisíocht, ceimiceáin speisialtachta, táirgí tréidliachta, agus córais eile a éilíonn tuaslagthacht agus cobhsaíocht fheabhsaithe. Leanann Bithcheimiceach Xi’an Deli de bheith i dteagmháil le comhpháirtithe trí chumarsáid atá dírithe ar fheidhmchláir agus trí chomhoibriú teicniúil chun tacú le riachtanais foirmlithe atá ag teacht chun cinn.


Maidir le Cuideachtaí Tionscail Bithcheimiceach Xi'an Deli

Bunaithe i 1999, is monaróir speisialaithe de dhíorthaigh cyclodextrin é Cuideachtaí Tionscal Bithcheimiceach Xi'an Deli, a sholáthraíonn hidroxypropyl betadex (HPBCD) agus sóidiam betadex sulfobutyl éitear (SBECD) do chustaiméirí domhanda. Le fócas fadtéarmach ar chomhsheasmhacht táirgí, sonraíochtaí soiléire, agus tacaíocht theicniúil phraiticiúil, tá an chuideachta fós tiomanta do réitigh iontaofa atá bunaithe ar cyclodextrin a sholáthar.


Más mian leat, is féidir liom freisin:


  • Déan é seo a bharrfheabhsú tuilleadh le haghaidh Google SEO (gan an ton teicniúil a laghdú)
  • Comhdhlúthaigh isteach i leagan “Nuashonrú Teicniúil” leathanach táirge é
  • Déan é a oiriúnú do chustaiméirí rialála / atá dírithe ar cháilíocht


Inis dom cá bhfuil sé beartaithe agat é a fhoilsiú.


Seol Fiosrúchán


icon
X
Úsáidimid fianáin chun eispéireas brabhsála níos fearr a thairiscint duit, chun anailís a dhéanamh ar thrácht an tsuímh agus chun inneachar a phearsantú. Trí úsáid a bhaint as an suíomh seo, aontaíonn tú lenár n-úsáid a bhaint as fianáin. Beartas Príobháideachta
Diúltaigh Glac